大物院本科生在国际知名期刊《Environmental Pollution》发表研究成果
发布时间:2026-03-05
|
来源:大气物理学院
|
作者:王红磊
|
责编:潘博洋
|
访问量:次
近日,大气物理学院本科生左方位以第一作者在大气科学领域国际知名期刊《Environmental Pollution》发表PM2.5化学组成与来源解析研究成果。论文基于嘉兴市乌镇超级站为期一年的连续在线观测数据,系统揭示了长三角典型沿海工业城市PM2.5的化学组成、季节演变、来源解析及不同污染过程的演变特征。论文第一作者为2022级本科生左方位,通讯作者为王红磊副教授,该成果充分展示了我校本科生在高水平科研实践中的创新能力。
PM2.5作为影响空气质量与公众健康的关键污染物,其化学组成复杂,来源多样。相较于北上广等超大城市,沿海工业城市的高分辨率污染数据长期匮乏,制约了区域性污染的协同治理。这类城市既面临纺织、化工、燃煤电厂等本地工业排放,又叠加日益增长的机动车尾气影响,同时受到海陆交汇气象条件的特殊塑造,污染机制更为复杂。论文基于2024年8月至2025年7月在嘉兴市乌镇超级站开展的一年期连续在线观测数据,综合使用气溶胶化学组分监测仪、元素分析仪、OCEC在线分析仪及气象要素观测系统,综合运用PMF源解析模型与HYSPLIT后向轨迹模型,对PM2.5中水溶性离子、碳质组分、金属元素等进行系统分析。研究发现,嘉兴PM2.5主导组分为:硝酸根离子(32.94%),铵根离子(15.63%)、一次有机碳(11.92%)、硫酸根离子(11.62%)和二次有机碳(7.65%)。
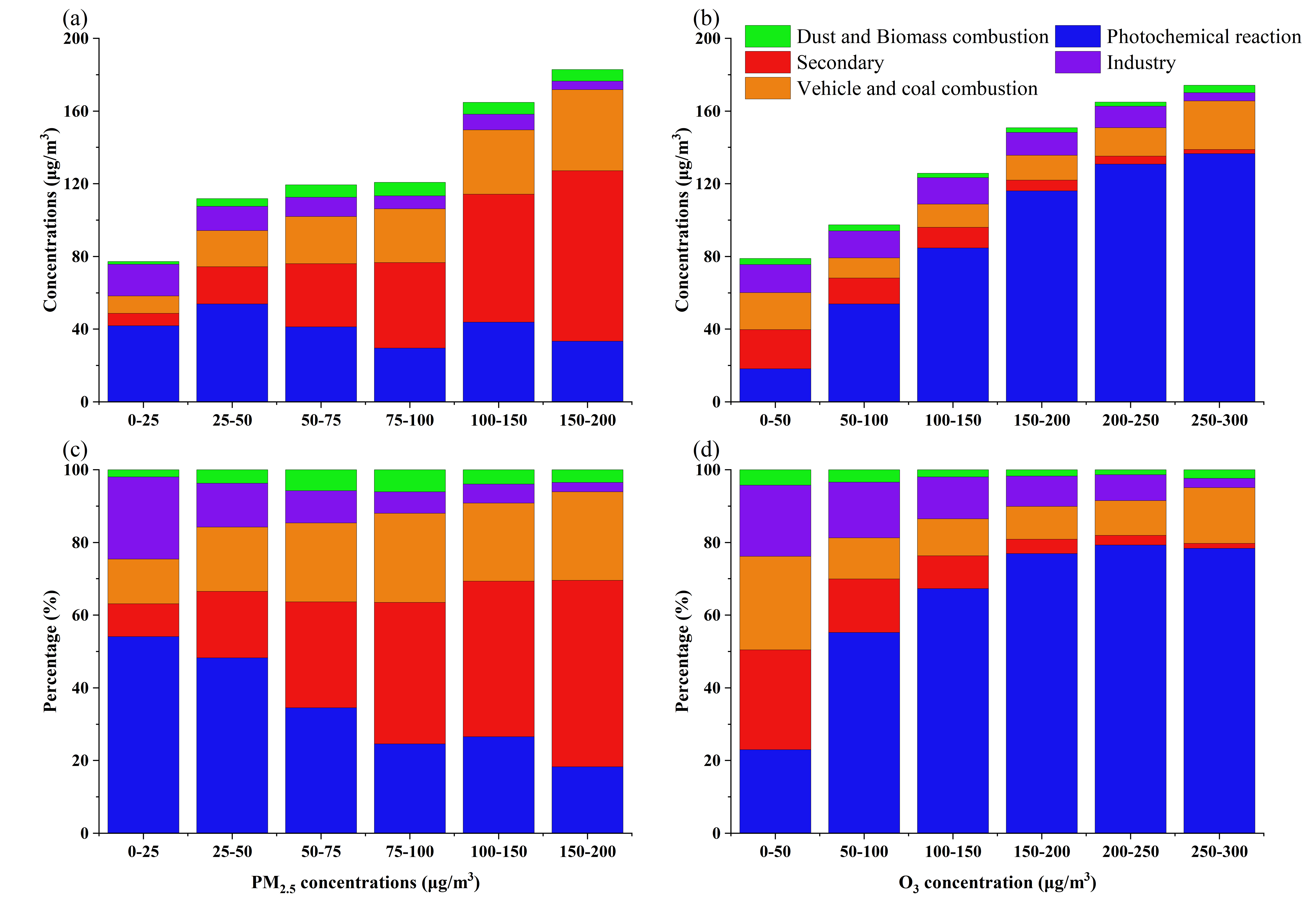
光化学活动是嘉兴市PM2.5的首要年际贡献源(42.56%),春季贡献率高达58.71%,冬季北方大陆性气团主导二次无机盐和碳质组分累积,贡献占比高达51.64%;而夏秋季海洋性气团的高湿环境则显著促进硝酸盐和二次有机碳生成,其硝酸盐浓度分别较其他气团高出74.70%–195.70%(夏季)和123.5%–340.5%(秋季)。在PM2.5重污染期间(150-200微克/立方米),硝酸盐、硫酸盐和铵盐等二次无机离子贡献高达78.85%,二次转化与机动车-燃煤混合源共同主导污染过程(合计75.65%)。而在高臭氧污染条件下(250-300微克/立方米),光化学活动贡献飙升至80%,二次有机碳浓度较低臭氧条件下激增7.64倍,凸显挥发性有机物(VOCs)管控的重要性。该研究揭示了PM2.5污染加剧主要由二次无机盐和二次有机碳激增驱动,而高臭氧污染则以光化学过程为主导。这一发现为沿海工业城市群实施PM2.5与臭氧协同控制提供了关键科学支撑——必须协同削减氮氧化物和VOCs前体物。
上述工作得到国家重点研发计划(2022YFC3701204)、国家自然科学基金(42505181、42475196)、江苏省自然科学基金(BK20231300)等项目的资助。

不同季节PM2.5化学组分变化特征

嘉兴地区不同季节各物种质量浓度的日变化

各污染源浓度及贡献度随PM2.5与O3的变化规律
论文: Fangwei Zuo, Xiaopei Xu, Feifei Yu, Honglei Wang*, Xiaoxia Yang, Haiyong Wang, Lijuan Shen, Da Xu*. One-year online observation of PM2.5 composition in Jiaxing city: Temporal evolution, source apportionment, and characteristics of different pollution processes[J]. Environmental Pollution, 396, 127868 (2026).
链接:https://doi.org/10.1016/j.envpol.2026.127868